Papers by Laurício Endres
Biomass & Bioenergy, 2000
We evaluated the current used allometric models and proposed a reliable and accurate model using ... more We evaluated the current used allometric models and proposed a reliable and accurate model using non-destructive measurements of leaf length (L) and/or width (W) for estimating the leaf area of the Jatropha plant (Jatropha curcas L.). For model construction, a total of 1200 leaves were randomly selected from different levels of the tree canopies and encompassed the full spectrum of

The Open Agriculture Journal, 2010
The expansion of sugarcane (Saccharum spp.) in Brazil has been boosted by the growing demand for ... more The expansion of sugarcane (Saccharum spp.) in Brazil has been boosted by the growing demand for bio-fuels all over the world and requires the occupation of new agricultural areas, including regions with unfavorable agro-climatic conditions. This observational study makes an analysis of the relationship between stomatal conductance, gas exchange and photosynthesis in sugarcane fields subject to different ambient conditions and growth phases. It was noted that the stomatal conductance had a much higher control on photosynthesis than on transpiration. Even under high stomatal conductance, photosynthesis maintained a high correlation to it. Sugarcane had an instantaneous water use efficiency of approximately 4.4 μmol of fixed CO 2 for each mmol of H 2 0 expended in transpiration. Lower leaf water potential, besides leading to an internal reduction of CO 2 , also reduced the instantaneous carboxylation efficiency, indicating that the photosynthesis apparatus was also affected. The variety RB92579, seems to have good water absorption system, because even under low leaf water potential, it maintained a good stomatal conductance, with a higher transpiration and photosynthesis than the others varieties. These results suggest that this variety has a tolerance mechanism to endure rather than avoid drought.
Relationships between endogenous hormonal levels and axillary bud development of Ananas comosus nodal segments
The effects of some endogenous hormones on the control of axillary bud development of pineapple A... more The effects of some endogenous hormones on the control of axillary bud development of pineapple Ananas comosus (L.) Merr. nodal segments cultivated in vitro were verified. Nodal segments with the apex (control) and decapitated nodal segments were used as explants and were cultured on hormone-free medium. Histological modifications occurring during the developmental process were also observed. Endogenous levels of indole-3-acetic

Somatic embryogenesis (SE) is an analogous process to zygotic embryogenesis (ZE); both complex pr... more Somatic embryogenesis (SE) is an analogous process to zygotic embryogenesis (ZE); both complex processes are influenced by a significant number of genetic and environmental factors. Amino acids are considered important regulators of morphogenesis in several plant species, therefore the aim of this study was to determine the role of amino acids in embryo ontogeny in Acca sellowiana. Endogenous levels of amino acids were quantified at different stages of development during both direct and indirect somatic embryogenesis (DSE and ISE) and during ZE. During ZE, there was an increase in total amino acids between 18 and 27 days after pollination. During ISE and DSE, the highest contents were detected from 3 to 15 days after inoculation, coinciding with the induction of somatic embryos. In ZE, glutamine and asparagine appeared to be fundamental to the process of induction of zygotic embryos. On the other hand, the induction of somatic embryos that appeared require glutamine, gamma-aminobutyric acid (GABA) and glutamic acid. The results suggest the involvement of amino acids in the ontogenesis of zygotic and somatic embryogenesis directly and indirectly in A. sellowiana, indicating requirements for specific amino acids for each event of development.
Alterações fisiológicas da senescência pós-colheita de brócolis
Jurubeba" (Solanum paniculatum L.), a member of the Solanaceae family, is considered a weed in se... more Jurubeba" (Solanum paniculatum L.), a member of the Solanaceae family, is considered a weed in several crops grown in many states in Brazil. This study reports the occurrence of the fungus Curvularia lunata (Wakker) Boedijn causing leaf spots on "jurubeba" plants in Assunção, I.P.; Lima, G.S.A.; Amorim, E.P.R.; Muniz, M.F.S. Endres, L. Occurrence of Curvularia lunata on "Jurubeba" in Alagoas State, Brazil. Summa Phytopathologica, v.32, n.4, p.386-387, 2006.
Propagation of Inga fagifolia by rooted cutting with growth regulators
Notifica-se a ocorrência de Pachycoris torridus (Scopoli, 1772) (Hemiptera: Scutelleridae) em Iga... more Notifica-se a ocorrência de Pachycoris torridus (Scopoli, 1772) (Hemiptera: Scutelleridae) em Igaci (Alagoas), atacando a cultura de pinhão-manso, Jatropha curcas L. O inseto, até então não constatado na região, assume relevância econômica pela natureza dos danos, ocasionando infestação em 100% das plantas.
bPhotosynthetic measurements in lettuce submitted to different agroindustrial residue composting/b bActividad fotosintética de la lechuga (iLactuca sativa/i L.) en diferente compostaje de residuos agroindustriales/b bAtividade fotossintética em alface (iLactuca sativa/i L.) submetidas a diferente...
USEING ALGAL ORGANIC FERTILIZERS
Análise de crescimento e potencial hídrico foliar em cana-de-açúcar submetida a diferentes manejos da palhada

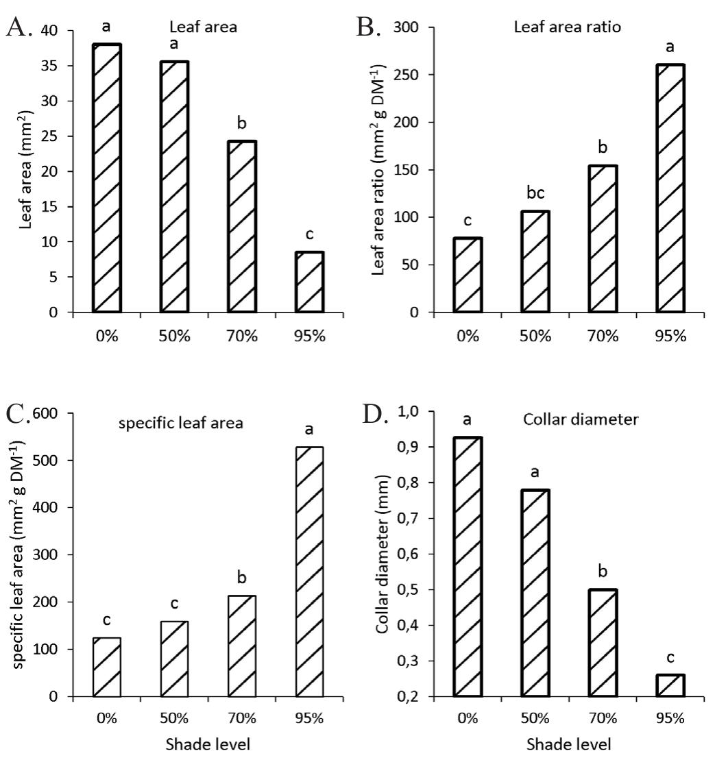
Tabebuia aurea (Benth. & Hook. f. ex S. Moore) (Bignoniaceae) is a boreal species common in Brazi... more Tabebuia aurea (Benth. & Hook. f. ex S. Moore) (Bignoniaceae) is a boreal species common in Brazil. It is used for ornamental parks and along sidewalks. Its timber is also used for furniture. The objective of this study was to evaluate the effect of nursery shading on the growth and photosynthesis of T. aurea and their photosynthetic adaptation after being transferred to direct sunlight. The T. aurea seedlings were grown under 0, 50, 70 or 95% shade. The photosynthetic active radiation and leaf gas exchange were measured over two distinct periods: 51 (young seedlings) and 70 days after having been sown under each shade treatment. Immediately after the measurements were taken, the seedlings were transferred into full sunlight and the measurements were repeated two times after 15 min and 3 days under ambient sunlight. T. aurea seedlings showed satisfactory growth up to 50% shade in the nursery, which could be verified both by growth measurement and by total biomass accumulation. Shading greater than 70% reduced the number of leaves, the leaf area and the stem diameter in relation to plants exposed to full sunlight. The results suggest that T. aurea seedlings should be grown under full sunlight or under shading up to 50% to maximize their growth in the nursery and to minimize stress when transferring the seedlings to their final planting sites.
GROWTH and YIELD of FOUR VARIETIES of SUGAR-CANE (SACCHARUM SP.), IN THE THIRD RATOON
Fitohormones and postharvest senescence of broccoli

In this study, we aimed to provide information about the use of silicates in plant cultivation. A... more In this study, we aimed to provide information about the use of silicates in plant cultivation. Although silicon (Si) is one of the most abundant elements found in most soils in substantial quantities, various classes of soils, mainly the sandy ones, present low amounts of available Si in their upper horizons. In these soils, some plants such as sugarcane and rice, which have keen ability to accumulate Si in their tissues, can respond favorably to silicon fertilization. Silicates behave similarly to calcium and magnesium carbonates in soil, promoting chemical reactions similar to those induced by limestone, including pH increase, precipitation of toxic aluminum (Al 3+ ) and manganese (Mn 2+ ), increase of exchangeable calcium and magnesium and base saturation levels, and reduction of Al 3+ saturation, with the additional benefit of increasing Si levels in soils. Si benefits to plants are related mainly with increasing their resistance to attacks by insect pests, nematodes and diseases, and with reducing their transpiration rate, which provides further tolerance to water stress during periods of low soil moisture. RESUMO: O objetivo deste trabalho foi fornecer informações sobre o uso de silicatos no cultivo de plantas. Apesar de o silício (Si) ser um dos elementos mais abundantes e estar presente na maioria dos solos em quantidades consideráveis, várias classes de solos, principalmente os arenosos, são pobres em Si nos horizontes superiores. Nesses solos, plantas como a cana-de-açúcar e o arroz, que têm grande capacidade de acumular Si em seus tecidos, podem responder favoravelmente à adubação silicatada. Os silicatos têm, no solo, comportamento similar aos carbonatos de cálcio e de magnésio, promovendo reações químicas semelhantes às provocadas pelo calcário, tais como: aumento do pH, precipitação do alumínio (Al 3+ ) e do manganês (Mn 2+ ) tóxicos, aumento dos teores de cálcio e magnésio trocáveis, e da saturação de bases, e redução na saturação por Al 3+ , além do benefício adicional de aumentar os teores de Si no solo. Os efeitos benéficos do Si às plantas estão relacionados, principalmente, com o aumento da resistência ao ataque de insetos-praga, nematoides e doenças, e com a redução na taxa de transpiração, proporcionando maior tolerância à falta de água em períodos de escassez.
Phenology and growth of the physic nut in the florest zone of the State of Alagoas, Brazil
... Claudiana Moura dos SANTOS1,2 Laurício ENDRES3 Humberto Cristiano de Lins WANDERLEY FILHO4 Ed... more ... Claudiana Moura dos SANTOS1,2 Laurício ENDRES3 Humberto Cristiano de Lins WANDERLEY FILHO4 Eduardo Vicente ROLIM4 Vilma Marques FERREIRA5 ... (2005) o pinhão-manso apresenta comportamento decíduo, onde as folhas caem em parte ou totalmente no final ...

The objected was to assess the relationship of physiological parameters to the susceptibility of ... more The objected was to assess the relationship of physiological parameters to the susceptibility of Emilia coccinea to a mixture of ametryn and clomazone applied post-emergence. The herbicide mixture was applied in four doses 30 days after sowing (DAS). The physiological parameters studied were photosynthetic pigments, chlorophyll fluorescence, soluble proteins, superoxide dismutase (SOD) activity, ascorbate peroxidase (APX) activity, electrolyte leakage and lipid peroxidation (MDA) 72 hours after application (HAA). Twenty-five days after application, the frequency of dead plants and dry matter accumulation per plant were recorded. The data were analyzed by analysis of variance and linear or nonlinear regression analysis. The total chlorophyll content (CHL), carotenoids (CAR) and maximum quantum efficiency of PSII (Fv / Fm) decreased exponentially with increasing doses of the herbicide mixture. The SOD activity decreased linearly. There was no significant linear increase in APX activity. There were linear increases in the electrolyte leakage and lipid peroxidation with increased doses of the mixture. In relation to plant mortality, a dose of 10 L ha -1 eliminated 100% of the E. coccinea population. Given these observations, we conclude that the membrane damage appeared 72 HAA of a mixture of clomazone + ametryn was closely related to mortality at 25 DAS.
Alterações na fotossíntese e nos teores de pigmentos cloroplastídicos em plântulas de mamona cultivadas sob condições de salinidade
Uploads
Papers by Laurício Endres